
Chile tiene opciones de clasificar al Mundial de Qatar 2022

Cómo hacer emojis con el teclado en Windows y Mac

Qué es el Plan Cuadrante en Pedro Aguirre Cerda

Cómo es la flora y fauna de Chile por zonas para niños

Cómo encontrar un conservador de bienes raíces en Villa Alemana

Qué es una tabla de horas lectivas y no lectivas en Chile

Cómo enviar un pedido de Uber Eats a otra persona

Cómo cuidar el medio ambiente y limpiar el entorno escolar

Cómo solicitar el permiso por nacimiento de hijo para padres en Chile

Cómo consultar mis cotizaciones de AFP PlanVital en Chile

Cómo ingresar a tu cuenta en AFP Cuprum fácilmente

Cuáles son las funciones del abogado en derecho penal

Cómo saber si pertenezco a Chile Seguridades y Oportunidades

El comprobante de domicilio debe estar a mi nombre en Chile

Cómo abrir una cuenta corriente en línea en Banco Falabella Chile

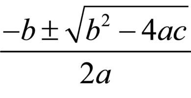
Cómo calcular la raíz cuadrada de b al cuadrado

Dónde encontrar hospedaje en Río Grande, Chile

Dónde se encuentra la Iglesia del Buen Pastor en Los Ángeles, Chile

Cómo llamar desde un teléfono fijo a un celular en Chile

Qué indemnización corresponde al ser despedido en Chile

Cómo se paga el bono por hijo en Chile: guía práctica

Cómo llegar a Correos de Chile en Mall Plaza Trébol

Dónde encontrar arriendo de casas en Pudahuel y Lo Prado

Cómo sacar cita para pasaporte peruano en Chile

Dónde comprar camionetas con equipo de frío para reparto en Chile

Cómo saber si una persona tiene derecho a cuota mortuoria en Chile




